Categorii De Importanta A Constructiilor

Construcții cu funcțiuni deosebit de importante a căror neîndeplinire implică riscuri majore pentru societate și natură pe zone foarte extinse.
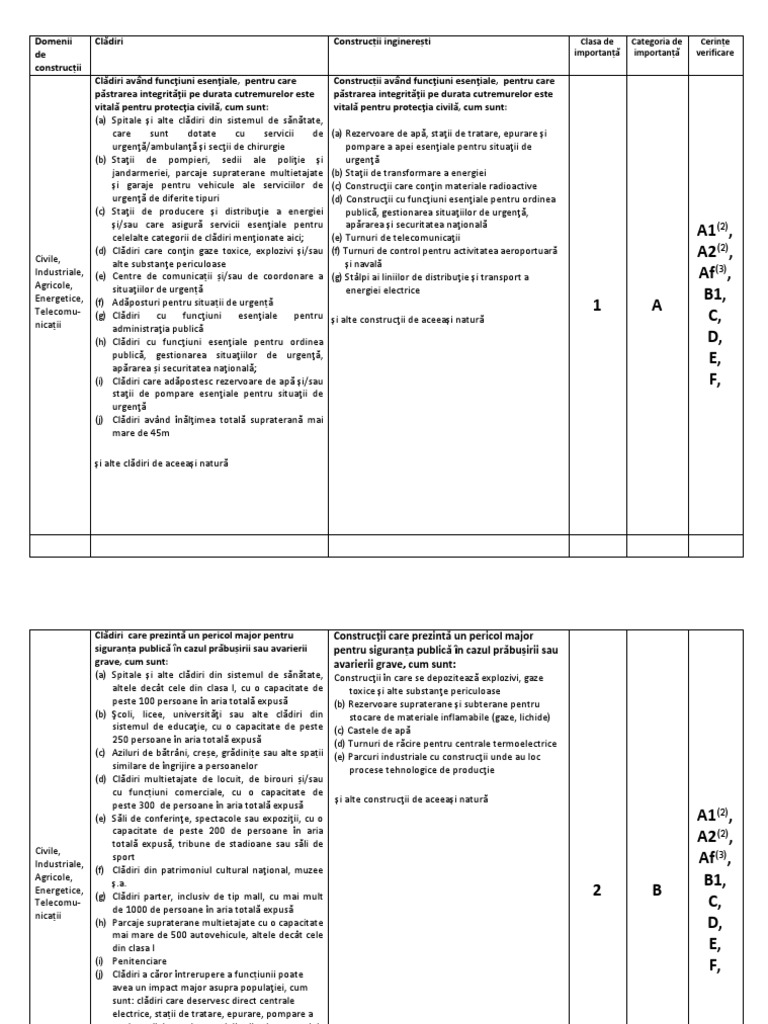
Categorii de importanta a constructiilor. In functie de categoria de importanta a constructiilor se stabilesc printre altele. In acest tabel se determina incadrarea cladirii in categoria de importanta specifica. Categorii de importanță a construcțiilor listă exemplificativă i. Categoria de importanta a constructiilor.
Pentru factorul 1 importanta vitala cele trei criterii p i din tabelul 1 pg 121 sunt. Clasa de importanta a constructiilor cuprinde ca principale două aspecte. Un spital va fi încadrat într un grad clasă superior față de o hală de depozitare materiale de construcții. Categoria de importanță a construcții de importanță excepțională.
Conform formulei de mai sus p n 4 1 1 x 1 3 2. 7 categoria de importan se stabileúte de c tre proiectant la cererea investitorului în cazul construc iilor noi sau a proprietarului în cazul construc iilor existente atunci când este necesar pentru lucr ri de interven ii sau în alte cazuri. Stabilirea categoriei de importanta are un rol foarte important in etapele conceperii pregatirii proiectarii executiei si exploatarii constructiilor. Necesitatea si rolul ei.
Prezentul regulament are ca obiect stabilirea modului de încadrare în categorii de importanță a construcțiilor în scopul aplicării diferențiate a sistemului calității conform legii. Scanned document created date.